115學年度中港高中國中部新生錄取名單公告
最後更新日期 :
2026-04-17
資訊群組 :
教務處
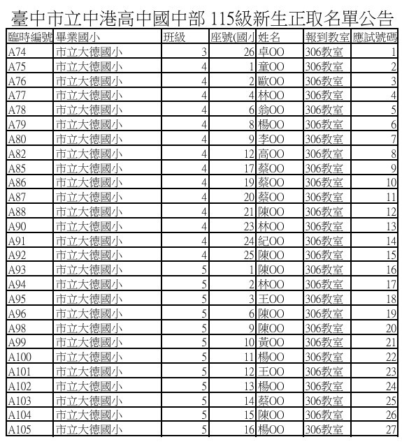
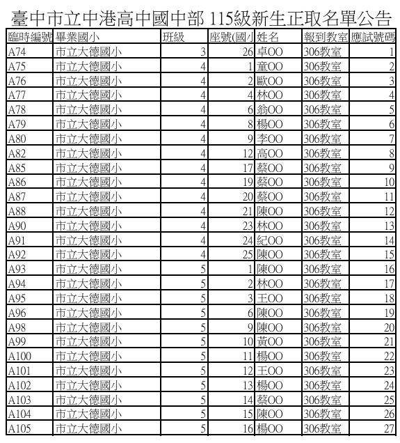
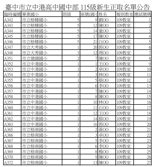
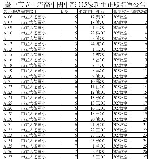
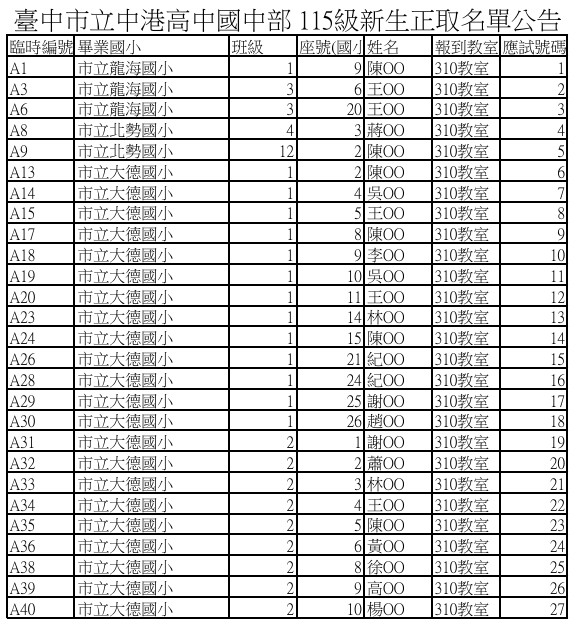
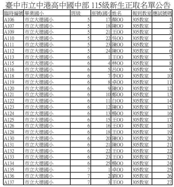
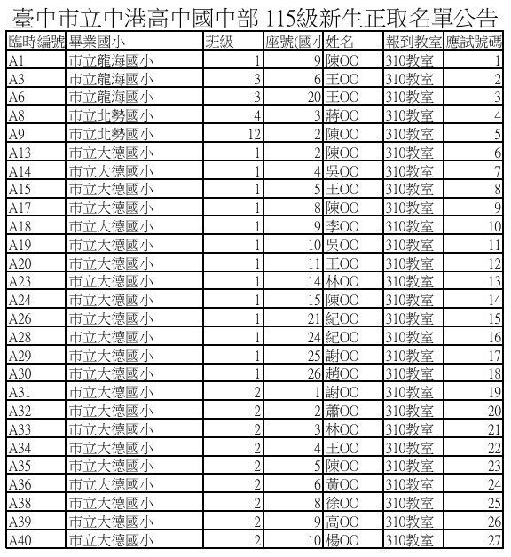
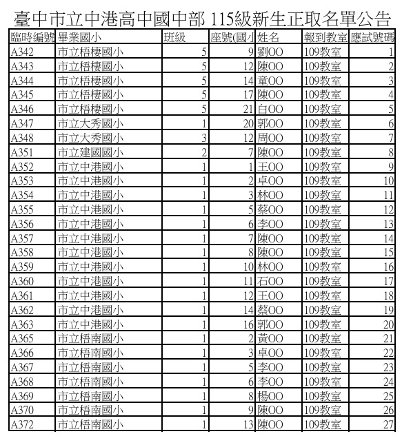
經115年4月15日新生資格審查委員會決議,115學年度中港高中國中部新生錄取名單公告,敬請依臨時編號查詢。
《重要期程與資料繳交》
1. 4/26(日)新生報到暨新生入學測驗 :
(1) 繳交資料:新生入學通知單
(2) 測驗時間/科目:上午8:30~12:00
(3) 測驗科目:國語、英語、數學 (此為新生常態編班之依據,敬請準時參加)
(4) 攜帶文具:2B鉛筆與橡皮擦等應考文具。
(5) 服裝規定:者請著國小校服。
(6) 繳交雙胞胎是否同班同意書。
(7) 倘若4/26(日)無法繳交上述資料,請於4/27(一) 11:00前繳交到本校註冊組。
2. 暑期學藝活動:115/08/03(一)~08/14(五),上課時間:7:30-11:55。
3. 資優鑑定報名:
(1) 日期與時間:114/4/26(日) 上午8:30~12:00
(2) 地點:本校輔導室特教組
(3) 攜帶文件與費用:報名相關表件暨報名費800元
4. 新生常態編班時間:7月中下旬由教育局統一正式編班(實際日期待教育局公告,正式編班名單於當日下午6時前公告於學校網站與穿堂,請依臨時編號查詢)。
5. 新生訓練:(預定)
(1) 日期:07/31(五)以開學後正式班級進行,務必全程參加。
(2) 時間:上午8:00前到校,16:00放學
(3) 服裝:請著體育服
(4) 如當天需請假,請事先來電告知:04-26578270#9302生輔組。
6. 開學日:(預定)
(1) 08月31日(一)正式上課。7:30前到校,攜帶餐具。 (2) 服裝請依導師規定
《重要期程與資料繳交》
1. 4/26(日)新生報到暨新生入學測驗 :
(1) 繳交資料:新生入學通知單
(2) 測驗時間/科目:上午8:30~12:00
(3) 測驗科目:國語、英語、數學 (此為新生常態編班之依據,敬請準時參加)
(4) 攜帶文具:2B鉛筆與橡皮擦等應考文具。
(5) 服裝規定:者請著國小校服。
(6) 繳交雙胞胎是否同班同意書。
(7) 倘若4/26(日)無法繳交上述資料,請於4/27(一) 11:00前繳交到本校註冊組。
2. 暑期學藝活動:115/08/03(一)~08/14(五),上課時間:7:30-11:55。
3. 資優鑑定報名:
(1) 日期與時間:114/4/26(日) 上午8:30~12:00
(2) 地點:本校輔導室特教組
(3) 攜帶文件與費用:報名相關表件暨報名費800元
4. 新生常態編班時間:7月中下旬由教育局統一正式編班(實際日期待教育局公告,正式編班名單於當日下午6時前公告於學校網站與穿堂,請依臨時編號查詢)。
5. 新生訓練:(預定)
(1) 日期:07/31(五)以開學後正式班級進行,務必全程參加。
(2) 時間:上午8:00前到校,16:00放學
(3) 服裝:請著體育服
(4) 如當天需請假,請事先來電告知:04-26578270#9302生輔組。
6. 開學日:(預定)
(1) 08月31日(一)正式上課。7:30前到校,攜帶餐具。 (2) 服裝請依導師規定
瀏覽數:
分享
